Assessing Value for Money in Integrated Development Programmes – The Case of a Millennium Villages Project in Northern Ghana*

Arnab Acharya1 and Tom Hilton2

Abstract
Through the use of cost–consequence analysis (CCA), a recent evaluation of a Millennium Villages Project (MVP) in Ghana revealed it to have represented poor value for money (VFM), with comparator projects elsewhere seeming to deliver similar results at less than half the cost. However, complex integrated development programmes (IDPs) such as the MVP pose serious challenges for VFM assessments. IDPs target system-wide changes in resource-scarce contexts, making expensive foundational investments in infrastructure and other systems. The unit costs of benefits will tend to be high in the short or medium term. In contrast, many standalone projects, showing greater efficiency, may target similar outcomes, but do so by building upon existing prior investments. In this article, comparing three VFM approaches, we argue that CCA is the most appropriate for IDPs. However, its applications must be mindful of the contextual differences in which the comparator standalone projects and the IDP were implemented.

Keywords: evaluation, value for money, cost–benefit analysis, cost-effectiveness analysis, cost–consequence analysis, evaluability, integrated development programme, Millennium Villages Project.

1 Introduction
International development programming has become increasingly complex in recent years, particularly because a global agenda for social, economic, and environmental change has been shaped by the Millennium Development Goals (MDGs) and the subsequent Sustainable Development Goals (SDGs). The holistic approaches embodied by such ‘integrated development programmes’ (IDPs) pose significant challenges for evaluators. Greater complexity of programming makes it difficult to (a) untangle multiple strands of intervention, (b) agree upon standardised indicators of success, and (c) identify suitable comparators for evaluations. In this article, we use the example of a recent evaluation of a Millennium Villages Project (MVP) in the Savannah Accelerated Development Authority (SADA) region of northern Ghana to illustrate these challenges.

The article proceeds as follows. Section 1 sets out the theory behind IDPs such as the MVP, before Section 2 presents various approaches to measuring value for money (VFM), and the rationale for the choice of the VFM approach for the MVP in northern Ghana. Section 3 presents a summary of the results of this VFM analysis,3 and Section 4 provides a discussion of the difficulties in interpreting VFM results in the context of an IDP. Section 5 summarises our conclusions.

1.1 Integrated development programming
A dominant early view in development economics was that of the ‘big push’, whereby substantial investment across productive sectors would allow countries to break free from the poverty traps and move towards an accelerated growth process.

Subsequent theories of economic growth, known collectively as ‘endogenous growth theory’, promoted the view that economic growth paths not only depend on physical capital accumulation, but also on health and education – human capital, which in turn prompt innovations in technology, management, and finance (see Romer 2006). Along this line, Gallup and Sachs (2001) provided econometric evidence to show that there is a directional causality between the burden of illness and the performance of the economy in many developing countries.

The policy implication emerging from these theories is that, within a politically stable environment, IDPs emphasising technological and business innovations, along with educational, health, and infrastructure improvements is the key to breaking poverty traps and stimulating development.

This approach complemented the emerging consensus that gross domestic product (GDP) alone is a poor measure of wellbeing, and that broader measures of ‘human development’ (including health and education) were also needed (UNDP 1990). This view found its origin in Amartya Sen’s human capability approach which argued that access to income did not necessarily provide many in the world with an adequate quality of life (Sen 1985).

In light of this, the MDGs established a set of multidimensional global targets that would come to shape the global development agenda through the 2000s, looking not only at income levels, but also health, education, and an array of other metrics. This multidimensional philosophy led to the rise of complex IDPs which sought to deliver a wide range of results within a single programme.

1.2 The MVP evaluation
The Millennium Villages Project of the Earth Institute at Columbia University is one example of this kind of programming. Starting in 2004, the MVP applied an IDP approach, focusing on education, health, agriculture, and infrastructure, at 14 sites across ten sub-Saharan African countries. Since its inception, the MVP has attracted considerable criticism relating to both the high cost of implementation and the limited evidence on results generated.

The difficulty in evaluating the MVP has also been noted, given the lack of comparable projects and non-experimental project design (see, for example, Tollefson 2015). This article uses the results from the evaluation (Barnett et al. 2018) of one MVP site, in the SADA area of northern Ghana, to further explore some of these challenges, and specifically to show how definitive judgements relating to value for money are difficult for IDPs.

2 Choice of VFM measure
We begin with a clarification of what is meant by VFM, and a summary of a number of approaches that are used to measure it.

VFM assessments seek to measure the extent to which a particular investment or project represented the best possible use of the funds in the pursuit of a particular goal. A range of VFM approaches can be applied depending on the availability of data relating to the costs and benefits of the project, as well as the availability of comparators (see Figure 1). In each case, the costs of a project are weighed up against the benefits that these costs generate.4

2.1 Cost–benefit analysis
Cost–benefit analysis (CBA) monetises all costs and benefits to give an overall benefit-to-cost ratio – a headline figure that clearly expresses whether or not benefits have outweighed costs on a particular project, and which allows for comparison with other potential investments and their respective benefit-to-cost ratio. CBA requires all benefits to be monetised, and as such, is often limited to projects where targeted returns are largely financial in nature.

2.2 Cost-effectiveness analysis
Where benefits cannot be readily monetised, cost-effectiveness analysis (CEA) is more commonly used. CEA provides an approximate unit cost for producing a particular desired output. Unlike CBA, its applicability requires comparator programmes that are aiming to produce the same outputs, allowing for comparisons of, for example, ‘cost per year of schooling’ under a range of different delivery models.

CEA has commonly been used in the health sector – whilst health outputs are often not easy to monetise (in order to conduct CBA), they are often relatively easy to define and compare across interventions – i.e. cost per vaccination, or cost per mosquito net distributed. There is agreement among researchers in the field of health policy that health benefits or health utility can be measured through single units of measure such as quality-adjusted life years (QALYs) (see Tan-Torres Edejer et al. 2003). Thus, the terms cost–utility analysis and cost-effectiveness analysis are commonly used to assess programmes that produce varied types of health benefits but yield to a single common unit of measure.

2.3 Cost–consequence analysis
With the rise of IDPs, projects often seek to influence multiple aspects of wellbeing which cannot easily be summarised with a single benefit measure.5 In such cases, evaluators may choose to list the various individual outcomes alongside the costs – this is known as cost–consequence analysis.

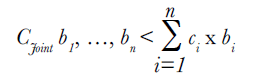
Within cost–consequence analysis, there are two possible approaches:

However, cost-apportionment may not always be easy – there may be sizeable portions of costs stemming from common activities (such as programme management and overheads) that produce multiple outcomes; moreover, any one outcome could be produced through the partial efforts of several types of activities as the results of multiple simultaneous interventions reinforcing one another.

The inequality shows costs savings or efficiency due to synergistic interventions within IDPs, as individual activities within an IDP share programme overheads and reinforce each other’s results. As with CEA, CCA still poses challenges to finding appropriate comparators, which may be required for a wide range of outputs.

Given the complexity of the programme, CCA was the VFM measure of choice for the MVP, using a combination of the cost-apportionment and total cost approaches outlined above. Section 3 sets out the results of this analysis.

3 MVP cost–consequence analysis
This section presents a summary account of the observed costs and benefits of the MVP in northern Ghana explained in more detail elsewhere (Barnett et al. 2018). First, cost estimations are offered through the use of standard methods for accounting public projects (see Tan-Torres Edejer et al. 2003) for the years 2012 to 2016 mid-year, the time at which the project impacts were last measured. We then provide measures of benefits, followed by the combined cost–consequence analysis.

Costs and benefits were categorised under six primary sectors: health, education, agriculture, infrastructure, community development, and environment.

3.1 Costs
Mitchell et al. (2018) report spending for an array of previous MVP projects in sub-Saharan Africa. They indicate that the annual per capita costs ranged from US$109 to US$132 in 2005 US prices. This figure is comparable to what we can report for the MVP in northern Ghana, which at current dollars is US$123, valued at 2014 prices. The total expenditure for the MVP in northern Ghana for 2012–16 amounted to US$16 million (current US$). This is the allocated amount or budget for the project; in reporting costs, this figure needs to be adjusted to account for capital goods purchased that were used across all the years of the project and some which can be used beyond the project.

The four largest sectors in terms of expenditure were health, infrastructure, education, and agriculture. In order to calculate the economic cost of the project, we adjust the allocated budget the following way:

Accounting for these factors, we estimate that the total costs associated with the benefits observed to date to be US$10 million.

These costs were split across the average annual population of the project area to arrive at the per capita costs shown in Table 1. Two scenarios are presented – one including all management and overhead costs (‘All Cost’), and one including only the essential management functions that might be included should the programme be replicated (removing substantial technical support and monitoring and evaluation (M&E)) (‘Limited Mgmt.’).

3.2 Benefits
To understand the benefits of the MVP, we consider the different rates of change in indicators of interest in both the Millennium Village sites (MVs) and the control villages (CVs), in order to estimate the additional impact attributable to the project at the project site compared to the counterfactual of no intervention in the MV area (MV’). This ‘difference-in-differences’ (DiD) approach is summarised as follows:

(MV2016 - MV2012) - (CV2016 - CV2012) = (MV2016 - MV2012) (MV2016 - MV2012)

DiD assumes that, in the absence of the project, the difference in indicators at both sites would have been the same due to parallel trends in both areas. As outcomes in the MV areas are the same at the beginning of the project with or without the project in 2012, the equation reduces to the following statement of additionality versus the counterfactual by the end of the project period:

DiD = MV2016 - MV’2016

The MVP essentially had three major goals:

  1. To raise income through improved agricultural productivity, market development, micro-finance, and better infrastructure.

  2. To improve health through the development of a better health system, delivering primary care at village level, with a referral system that links up with Ghana’s newly developed national health insurance scheme, promoting universal health coverage.

  3. To improve educational achievements through improving the educational system.

For each of the above, the DiD approach was used to estimate the net attributable benefits in the MVs. A summary of these results is set out in Table 2.

3.3 Cost–consequence analysis
A summary of the cost–consequence analysis for the MVP in northern Ghana is presented in Table 2, including the observed benefits of the project, the estimated MVP costs associated with these benefits, and a range of comparator costs drawn from the literature.7

With regard to MVP benefits, income benefits were derived from a combination of agriculture, infrastructure, and community development, totalling some US$3.8 million. Education benefits in terms of additional years of schooling were monetised to arrive at an estimated value of US$3.1 million to US$4.3 million (Fink et al. 2016; Montenegro and Patrinos 2014).8 We did not observe a health impact that could be measured by health utility level, perhaps due to the duration being too short between the observation period and the time at which much of the health infrastructure was placed. Health benefits are assessed at the output level, including access to health-care workers, vaccinations, stunting, contraception, and malaria cases avoided.

The MVP costs are listed as ‘estimates’, since the MVP cost data were not mapped to specific activity areas within sectors, and there is a degree of crossover between sectors. Furthermore, we are only able to provide aggregated costs at the sectoral level – for example, it is impossible to tell from the data exactly how much was spent on malaria reduction. Instead, an overall estimated cost of providing the full package of health benefits is provided.

With regard to comparators, we carried out an extensive literature search to find the cost-effectiveness of producing the same benefits that the MVP produced by other means. The result of our effort has been detailed in Acharya, Masset and Saha (2017). As reported in Masset et al. (this IDS Bulletin), it was not possible to find any single programme taking a similarly comprehensive approach as the MVP. Instead, individual programmes delivering similar results at the sectoral and sub-sectoral level were sought. Some further limitations apply to the comparators (as is often the case with CCA or even CEA), notably the difficulty in finding (a) projects seeking to deliver the exact same outputs, (b) projects operating in the same locality or similar contexts, and (c) projects using the same costing methods.

Whilst noting these limitations, the literature suggests that the overall benefits generated by the MVP in northern Ghana could have been generated at around half the cost by other means. This suggests that the intensive IDP approach of the MVP has not, overall, represented good value for money.

At the sectoral level, income generation likely had positive returns, and appears to have been delivered in a relatively cost-effective manner. Educational benefits significantly outweigh MVP spending on education. However, examples from the literature suggest that such benefits could have been delivered at far lower cost. Similarly, health outputs could have been delivered at a fraction of the cost by other means. At the sub-sectoral level, since we could not apportion costs to specific results, we cannot make a judgement as to the cost-effectiveness of, for example, avoidance of malaria cases.

Whilst the overall picture suggests poor value for money, there are some challenges in interpreting CCA results for IDPs. This is discussed in the following section.

4 Interpreting the cost–consequence analysis
Whilst the MVP in northern Ghana appears to represent poor VFM under the CCA calculations, interpretation is just as important as calculation in drawing conclusions about the programme. Careful consideration is needed of the specific context of the MVP in northern Ghana (and IDPs in general), the appropriateness of comparisons with standalone programmes, and the relevant time horizons of the evaluation.

4.1 Contextualising the costs of the MVP
IDPs typically take place in resource-scarce regions characterised by significantly under-developed infrastructure and systems – as such, ‘big push’-style IDPs tend to require more intensive investment than may be required in a more developed context, opting to take on the role typically played by governments in making foundational investments.

Indeed, the SADA region is one of the least developed regions of Ghana. To put the MVP budget of US$88 per capita per annum in context, the expenditure of the Government of Ghana amounted to 17.7 per cent of GDP in 2016, or US$268 per capita (World Bank 2018). MVP spending has therefore amounted to the equivalent of around a third of government expenditure over the period, a very substantial sum. However, observations of public services in the SADA region suggest that government spending is likely to have been below the national average in the MV and CV areas. Thus, increasing the budget by US$88 may not be a great burden for an area where much expenditure has not already taken place.

Clemens (2012) noted that the MVP is an expensive programme. Yet, the average per capita for the MVP is not high compared to an important programme that sought to improve livelihoods through providing productive assets to poor households in Ghana (Banerjee et al. 2015). The project reported a cost of US$75 per capita annually over three years. The comparable value for the MVP amounted to US$82 per capita annually.

The comparison with standalone projects showed the MVP to be inefficient. Standalone projects targeting specific outcomes, however, typically operate within pre-existing systems, building on existing infrastructure and services. The costs of these foundational elements are not factored into the cost-effectiveness calculations of most programmes. In the absence of reliable cost-effectiveness data on delivery models within the specific SADA region, the efforts of the MVP may be undervalued, given the challenging context it was operating in.

For example, cash transfer programmes are built on the assumption that health and educational goods and services can be purchased through the payments made to households. The Ghana Livelihood Empowerment Against Poverty (LEAP) programme provides about US$18 per capita per annum in cash transfers (de Groot 2016).13 However, in the SADA region it is unlikely that the desired health or education services could have been obtained with such cash transfers since many health centres and schools were found to be near non-operational at the outset of the MVP. Additional investments are required in order to build up infrastructure and services before a programme like LEAP can be effective. It may be considered that some of the high costs of the MVP can be attributed to developing these underlying systems, which are not typically valued in the VFM analysis of standalone programmes.

4.2 Evaluating systems-level interventions
Although much has been written regarding interventions at the systems level in health and education, there has been little attempt to develop a means of evaluating systems-level changes (see Hanson 2015).

One motivation for systems-level interventions in IDPs is the anticipation of significant synergistic benefits as programme elements become self-reinforcing, leading to programming that is greater than the sum of its parts, and ultimately more cost-effective than standalone delivery through multiple programmes. For example, a programme to provide uniforms and textbooks together may represent greater value for money than two standalone programmes for uniforms and textbooks, due to a combination of shared overheads and enhanced benefits.

However, such synergies have not yet been observed in the MVP in northern Ghana. One important factor may be the time-lag in impacts. In an evaluation of the development of education systems in Indonesia, Duflo (2001) explores the impact of increasing the size of the school system through the construction of new schools and the development of supporting educational systems. Whilst much of the initial investments occurred in the 1970s, Duflo notes that the impact on wages is identified only 20 years later. Similarly, whilst infrastructure investments can bring about substantial systems changes, these changes have usually been observed after a considerable time-lag (Banerjee, Duflo and Qian 2012).

In the case of the MVP, there may yet be gains in terms of synergistic benefits that are only observed after ten or more years, as opposed to the short-term time horizons of narrower standalone programmes. For example, the health outputs observed in the MVP in northern Ghana to date have been delivered as part of a package of intensive health systems development. This may have rendered the specific health outputs generated significantly more expensive than those of standalone programmes that may have been operating within more developed health systems. The health outcomes associated with these outputs, such as longer life expectancy and increased productivity, may not be apparent for a number of years. As these improved outcomes take hold, however, they may serve to reinforce the benefits seen elsewhere under the MVP, as healthier people are better able to take advantage of improved agriculture and infrastructure systems.

5 Conclusion
The rise of complex IDPs targeting multiple objectives under the MDGs and subsequent SDGs has presented a number of challenges for evaluators. The difficulty of monetising benefits or otherwise capturing them under standardised all-encompassing indicators, combined with the difficulty in finding comparator programmes, tends to render conventional VFM assessments, such as CBA and CEA, impractical. CCA is one alternative, setting out an array of benefits against the costs of the programme, and seeking to compare this with alternative delivery models. Given the unique nature of IDPs, single comparator programmes are usually unavailable, and comparisons instead tend to be made up of multiple standalone projects.

This creates challenges for the interpretation of results, however. Standalone comparator programmes are often based on the workings of functioning systems needing only marginal changes at relatively low cost – the cost of developing the underlying systems and infrastructure is not typically accounted for. IDPs such as the MVP, on the other hand, may have far greater up-front costs as they focus on building up systems from a lower level of development. The benefits from these investments – particularly the synergistic benefits targeted under broad, systems-development investments – may take many years or even decades to become apparent.

The CCA suggests that the benefits delivered to date under the MVP in northern Ghana could have been delivered at half the cost using alternative means, and few signs of synergistic benefits have yet been apparent. Such a large gap indicates that the MVP failed to achieve value for money. Nonetheless, it is unclear whether the approaches identified in comparator programmes would have been effective in the resource-scarce SADA context, whilst the full benefits of the MVP investments may take several years to become apparent.

In light of the above, future research should focus on (a) revisiting specific IDPs such as the MVP, in order to assess the extent to which investments made with regard to systems and infrastructure are sustained and deliver additional benefits that improve the VFM proposed for the initial investments; and (b) developing new methods to evaluate systems-level investments with high up-front costs and long lags in benefit streams.

Notes
* This issue of the IDS Bulletin was prepared as part of the impact evaluation of the Millennium Villages Project in northern Ghana, 2012–17, funded by the UK Department for International Development (DFID) (www.dfid.gov.uk). The evaluation was carried out by Itad (www.itad.com) in partnership with IDS (www.ids.ac.uk) and PDA-Ghana (www.pdaghana.com). The contents are the responsibility of the evaluation team and named authors, and do not necessarily reflect the views of DFID or the UK Government.

1 Honorary Assoc. Professor, London School of Hygiene & Tropical Medicine (2012–17).

2 Freelance development economist.

3 Full details of the VFM analysis of the northern Ghana MVP are available in the final evaluation report (Barnett et al. 2018).

4 For each case described here, we assume that all costs can be monetised. Whilst this may not always be the case, a discussion of potential non-financial costs is beyond the scope of this article.

5 Masset et al. in this IDS Bulletin explore the trends in the evaluation of projects that have outcomes that cannot easily be monetised or reported by a common measure.

6 Values are based on standard assumptions of longevity of usage of capital goods.

7 Complete explanations as to how the DiD results were derived are offered in Barnett et al. (2018).

8 Values calculated by the authors and Fink et al. (2016) for returns to education nearly come to the same figure. The authors based their calculations on the Montenegro and Patrinos (2014) rate of return values for Ghana and wage rate found in the household survey.

9 Costs are presented at the sectoral level since the underlying cost data were not traceable to specific outputs.

10 Using the rate of return reported in Banerjee et al. (2015) as 133 per cent for Ghana in an income-generating project through asset formation.

11 Multiple sources were used to obtain unit costs extending a child remaining in school for an extra year, including Baird, McIntosh and Özler (2011), Evans and Popova (2014) and McEwan (2012).

12 Various sources were used: Doherty and Govender (2004) for contact with health worker; White et al. (2011) for malaria; PATH and WHO (2016) and author calculation for vaccinations; Levine et al. (2006) for contraception.

13 Calculated as averages by the authors from a payment schedule.

References
Acharya, A.; Masset, E. and Saha, A. (2017) Midterm-Preliminary Cost-Effectiveness Analysis, Hove: Itad

Baird, S.; McIntosh, C. and Özler, B. (2011) ‘Cash or Condition? Evidence from a Cash Transfer Experiment’, Quarterly Journal of Economics 126.4: 1709–53

Banerjee, A.; Duflo, E. and Qian, N. (2012) On the Road: Access to Transportation Infrastructure and Economic Growth in China, NBER Working Paper 17897, Cambridge MA: National Bureau of Economic Research

Banerjee, A. et al. (2015) ‘Development Economics. A Multifaceted Program Causes Lasting Progress for the Very Poor: Evidence from Six Countries’, Science 348.6236

Barnett, C. et al. (2018) Impact Evaluation of the SADA Millennium Villages Project in Northern Ghana: Endline Summary Report, Hove: Itad (accessed 25 September 2018)

Clemens, M. (2012) ‘New Documents Reveal the Cost of “Ending Poverty” in a Millennium Village: At Least $12,000 Per Household’, Center for Global Development (accessed 13 September 2018)

Doherty, J. and Govender, R. (2004) The Cost-Effectiveness of Primary Care Services in Developing Countries: A Review of the International Literature, Disease Control Priorities Project, Working Paper 37

Duflo, E. (2001) ‘Schooling and Labor Market Consequences of School Construction in Indonesia: Evidence from an Unusual Policy Experiment’, American Economic Review 91.4: 795–813

Evans, D. and Popova, A. (2014) Cost-Effectiveness Measurement in Development: Accounting for Local Costs and Noisy Impacts, Working Paper 7027, Washington DC: World Bank

Fink, G. et al. (2016) ‘Schooling and Wage Income Losses Due to Early-Childhood Growth Faltering in Developing Countries: National, Regional, and Global Estimates’, American Journal of Clinical Nutrition 104.1: 104–12

Gallup, J.L. and Sachs, J.D. (2001) ‘The Economic Burden of Malaria’, in J.G. Breman, A. Egan and G.T. Keusch (eds), The Intolerable Burden of Malaria: A New Look at the Numbers, Supplement to Volume 64.1 of the American Journal of Tropical Medicine and Hygiene (accessed 13 September 2018)

de Groot, R. (2016) ‘Ghana LEAP 1000 Impact Evaluation: Overview of Study Design’, Innocenti Research Brief 2016-01, Florence: UNICEF Office of Research

Hanson, K. (2015) What Can Education Systems Research Learn from Health Systems Research?RISE Working Paper 15/003, Research on Improving Systems of Education (accessed 13 September 2018)

Levine, R. et al. (2006) ‘Contraception’, in D.T. Jamison et al. (eds), Disease Control Priorities in Developing Countries, 2nd ed., Washington DC: The International Bank for Reconstruction and Development/The World Bank Group

McEwan, P.J. (2012) ‘Cost-Effectiveness Analysis of Education and Health Interventions in Developing Countries’, Journal of Development Effectiveness 4.2: 189–213

Mitchell, S. et al. (2018) ‘The Millennium Villages Project: A Retrospective, Observational, Endline Evaluation’, The Lancet 6.5: PE500-E513 (accessed 13 September 2018)

Montenegro, C.E. and Patrinos, H.A. (2014) Comparable Estimates of Returns to Schooling Around the World (English), Policy Research Working Paper 7020, Washington DC: World Bank Group

PATH and WHO (2016) Delivering Vaccines: A Cost Comparison of In-Country Vaccine Transport Container Options, Seattle WA: Program for Appropriate Technology in Health and World Health Organization (accessed 13 September 2018)

Romer, D. (2006) Advanced Macroeconomics, Boston MA: McGraw-Hill

Sen, A.K. (1985) Commodities and Capabilities, Oxford: Oxford University Press

Tan-Torres Edejer, T. et al. (eds) (2003) WHO Guide to Cost-Effectiveness Analysis, Geneva: World Health Organization

Tollefson, J. (2015) ‘Millennium Villages Project Launches Retrospective Analysis’, Nature, 12 August (accessed 13 September 2018)

UNDP (1990) Human Development Report, New York NY: United Nations Development Programme

White, M.T.; Conteh, L.; Cibulskis, R. and Ghani, A.C. (2011) ‘Costs and Cost-Effectiveness of Malaria Control Interventions: A Systematic Review’, Malaria Journal 10: 337

World Bank (2018) General Government Final Consumption Expenditure (% of GDP) (accessed 13 September 2018)

© 2018 The Authors. IDS Bulletin © Institute of Development Studies | DOI: 10.19088/1968-2018.161

This is an Open Access article distributed under the terms of the Creative Commons Attribution Non Commercial No Derivatives 4.0 International licence (CC BY-NC-ND), which permits use and distribution in any medium, provided the original authors and source are credited, the work is not used for commercial purposes, and no modifications or adaptations are made. https://creativecommons.org/licenses/by-nc-nd/4.0/legalcode

The IDS Bulletin is published by Institute of Development Studies, Library Road, Brighton BN1 9RE, UK. This article is part of IDS Bulletin Vol. 49 No. 4 September 2018 ‘The Millennium Villages: Lessons on Evaluating Integrated Rural Development’; the Introduction is also recommended reading.